Emotion elicitation effect of films in a Japanese sample

Main Article Content

Wataru Sato
Motoko Noguchi
Sakiko Yoshikawa
Cite this article:  Sato, W., Noguchi, M., & Yoshikawa, S. (2007). Emotion elicitation effect of films in a Japanese sample. Social Behavior and Personality: An international journal, 35(7), 863-874.


Abstract
Full Text
References
Tables and Figures
Acknowledgments
Author Contact

Films are effective stimuli to elicit emotions. A set of films to elicit specific emotions was developed in a previous study (Gross & Levenson, 1995), and emotional reactions to them were investigated in Western participants. In this study, we investigated whether these films have a similar capacity to elicit emotions in a Japanese sample. Thirty-one Japanese participants viewed 8 films selected to elicit specific emotions (amusement, anger, contentment, disgust, fear, neutral, sadness, and surprise) and evaluated their emotional experiences using 16 discrete and 2 dimensional emotion scales. The discrete scales indicated that all of the films evidently elicited the target emotions, as well as some nontarget emotions. The dimensional emotion scales showed that almost all of the films elicited theoretically reasonable emotions in terms of valence. These results suggest that the films may have a universal capacity to elicit emotions.

Emotion has been of great interest to psychological researchers, and various methods have been designed to elicit emotions in the laboratory (Gerrards- Hesse, Spies, & Hesse, 1994). Film presentations are particularly effective (Westermann, Spies, Stahl, & Hesse, 1996) and have certain advantages in that they are a common experience for most people, more realistic than static stimuli presentations, and consistent across participants (Kring, Kerr, Smith, & Neale, 1993).

The elicitation of emotion by films has been investigated in several countries, including the United States (Gross & Levenson, 1995; McHugo, Smith, & Lanzetta, 1982), Belgium (Philippot, 1993), and Germany (Hagemann et al., 1999; Hewig et al., 2005). In these studies, researchers designed film stimuli targeted to elicit specific emotions, and investigated the subjective emotional experiences of viewers watching the films. Gross and Levenson (1995) conducted large-scale experiments with native English speakers in the United States, and developed a set of film stimuli for eliciting specific emotions. Participants in the study evaluated the elicited emotions using 16 discrete emotion scales for 78 film stimuli selected from 250 films. Then, 16 films were selected, with two films for each of eight emotions (amusement, anger, contentment, disgust, fear, sadness, surprise, and neutral), from among the film stimuli evaluated as the strongest and most distinct for specific emotions. The discrete emotion scale ratings showed that these films elicited the target emotions discretely in most cases, although some films were nonselective and elicited multiple emotions. Specifically, the target emotions for amusement, disgust, sadness, and surprise were rated higher than all nontarget emotions. For anger, contentment, and fear, the target emotions were rated higher than most, but not all, nontarget emotions. Based on these results, Gross and Levenson (1995) proposed that this set of film stimuli could be used to elicit specific emotions under experimental conditions.

Hagemann et al. (1999) used a partial set of the stimuli developed by Gross and Levenson (1995) to test emotion elicitation in German participants. Their assessment utilized eight discrete and two dimensional emotion scales. The discrete emotion scale ratings showed that the films elicited the target emotions discretely, with some exceptions (e.g., anger films elicited similar levels of anger and sadness). The dimensional scale ratings revealed valence differences among groups of films preclassified as positive, neutral, or negative. The results showed that these film stimuli elicited the target emotions in German participants, suggesting a universal capacity of the films.

However, possible cultural differences between Western and Eastern cultures in emotion elicitation by films have not been tested. Few empirical studies have addressed cultural differences in subjective emotional experience. A rare study (Scherer, Matsumoto, Wallbott, & Kudoh, 1988) sampled U.S., European, and Japanese populations to investigate cultural differences in emotional experiences in daily life. The results showed a very strong universality in emotional experience. For other aspects of emotion, including antecedent events, event coding, appraisals, physiological arousal, and behaviors, suggestions exist for universality across cultures (Mesquita & Frijda, 1992). Specifically, several studies have reported great similarities across Western and Eastern cultures for encoding (Ekman, 1971; Matsumoto & Ekman, 1988) and decoding (Ekman, 1971; Ekman et al., 1987; Matsumoto, 1992; Scherer, Banse, & Wallbott, 2001) of emotional expressions. These data suggest that subjective emotion elicitation by films could be essentially universal across Western and Eastern cultures.

We investigated the emotional experience of Japanese participants while viewing the film stimuli developed by Gross and Levenson (1995). To evaluate the emotion elicited by each film stimulus, we used the 16 discrete and 2 dimensional emotion scales used in previous studies (Gross & Levenson, 1995; Hagemann et al., 1999). Based on the evidence suggesting similar capacity for emotion elicitation by films across Western countries and the universality of several emotional aspects across both Western and Eastern cultures, we expected the films to elicit the same target emotions in Japanese participants as those elicited in the Western participants.

Method

Participants

Thirty-one Japanese volunteers (16 females and 15 males; mean ± SD age, 21.9 ± 2.6 years) participated in this experiment. All of the participants were born in Japan, and their first language was Japanese. All had normal or corrected-to- normal visual acuity.

Stimuli

From the film stimuli set developed by Gross and Levenson (1995), one film for each of eight emotions was selected. The stimulus scenes were from the following films: When Harry Met Sally, Cry Freedom, Beach Scene, Pink Flamingos, Silence of the Lambs, Abstract Shapes, The Champ, and Capricorn One for amusement, anger, contentment, disgust, fear, neutral, sadness, and surprise, respectively. The mean ± SD time of the film stimuli was 124.8 ± 78.0 s (range: 23 – 209 s). All of the films except the neutral stimulus had sound. The amusement and fear films had Japanese dubbing, and the anger and sadness films had Japanese subtitles. Two films from the Gross and Levenson (1995) set targeting contentment and neutral emotion were utilized for practice and state recovery at the end of the experiments, respectively.

Emotion Assessment Scales

The following two methods were implemented for the emotion assessment of each film stimulus:

Discrete emotion scales For 16 emotional terms (amusement, anger, arousal, confusion, contempt, contentment, disgust, embarrassment, fear, happiness, interest, pain, relief, sadness, surprise, and tension) used in Gross and Levenson’s (1995) study, participants evaluated how strongly they felt each on a 9-point scale, from 1 (not at all) to 9 (the strongest in my life), while viewing the films. The order of the emotional terms was randomized across participants.

Dimensional emotion scales Participants used affect grids to evaluate their emotional state in valence and arousal (Russell, Weiss, & Mendelsohn, 1989). The assessment was made in terms of valence 1 (unpleasant) to 9 (pleasant) and arousal 1 (sleepiness) to 9 (high arousal) in response to each stimulus.

Procedure

The film stimuli were presented on a large wall-mounted screen using a PC projector (DLA-G11, Victor Company). Stereo speakers (301V, Bose) on both sides of the screen presented the sound. The experiments were performed with small groups of one to four persons. Wall partitions separated the seats, and participants responded individually.

Prior to the film stimulus presentation, participants received the following oral instructions: “This is an experiment in assessing emotions elicited by films. Keep watching the films presented on the screen. If you feel sick, you may close your eyes or look away. At the beginning of each film presentation, clear your mind and emotions.”

After a 20 s stretch of white, each film stimulus was presented, and the participants assessed their emotions using the discrete and dimensional emotion scales.

First, a scene eliciting contentment was presented for practice. Then, eight film stimuli were presented. We pseudorandomized the film presentation order across participants and arranged it so that three or more films of the same valence dimension were not presented in succession. At the end of the experiment, a neutral film was presented for state recovery.

Data Analysis

For the discrete emotion scales, we conducted two analyses to test whether each film stimulus elicited the target emotions discretely. First, as a relatively liberal test, we conducted specific planned comparisons using t values (one- tailed) for the target vs. the mean of nontarget emotions. Second, as a relatively strict test, we conducted specific planned comparisons using t values (one-tailed) for the target vs. each of the nontarget emotions.

For dimensional emotion scales, as in a previous study (Hagemann et al., 1999), we classified emotions into positive (amusement and contentment) and negative (anger, disgust, fear, and sadness) valence groups. Then, we tested the differences of valence ratings for each positive or negative film vs. the neutral film using specific planned comparisons with t values (one-tailed). For the arousal ratings, we conducted specific planned comparisons for each emotional vs. the neutral film with two-tailed t values.

Results

Discrete Emotion Scales

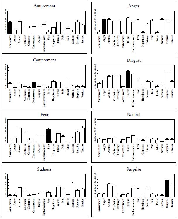
Figure 1 shows the mean (± SE) values of the discrete emotion scale ratings. To investigate the discreteness of emotion elicitation, specific comparisons were first conducted for the target vs. the mean of nontarget emotions for each film. The results showed that all of the target emotion ratings were significantly higher than those of nontarget emotions, ts(30) = 4.00, 7.17, 3.80, 12.26, 9.12, 12.01, and 16.18, for amusement, anger, contentment, disgust, fear, sadness, and surprise, respectively, ps < .001.

Table/Figure

Figure 1. Mean (± SE) ratings of discrete emotion scales. Target and nontarget emotions are represented by black and white bars, respectively.

Table 1. The t Values for Specific Comparisons Between the Target Emotion and Each Nontarget Emotion Using Discrete Emotional Scales


Table/Figure

df = 30 * p < .05

Planned comparisons were then conducted for the target vs. each of the nontarget emotions for each film (Table 1). For films eliciting sadness and surprise, the target emotions were rated significantly higher than all nontarget emotions. For amusement, the target was rated significantly higher than nontarget emotions, except arousal, embarrassment, interest, and surprise. For anger, the target rating was significantly higher than nontarget emotions, except for arousal, confusion, disgust, fear, sadness, and tension. For contentment, the target rating was significantly higher than nontarget emotions, except for amusement, happiness, and interest. For disgust and fear, the target emotions were rated significantly higher than nontarget emotions, except for surprise and arousal, respectively.

Dimensional Emotion Scales

Figure 2 shows the valence and arousal rating results. For valence ratings, specific contrasts revealed that all of the valence ratings of positive or negative films, except sadness, were significantly different from those of the neutral film, ts(30) = 3.28, 7.79, 3.63, 7.06, and 1.56 for amusement, anger, contentment, disgust, and fear, respectively, ps < .05. The valence ratings of the positive (amusement and contentment) and negative (anger, disgust, and fear) films were significantly higher and lower than those of the neutral film, respectively.

Table/Figure

Figure 2. Mean (± SE) ratings of dimensional emotion scales. AM = amusement; AN = anger; CO = contentment; DI = disgust; FE = fear; NE = neutral; SA = sadness; SU = surprise.

Arousal ratings were also analyzed for descriptive purposes. Specific comparisons revealed that all of the arousal ratings of emotional films, except for contentment, were significantly different from the arousal ratings of the neutral film, ts(30) = 10.98, 14.25, 8.53, 11.59, 7.01, and 11.86 for amusement, anger, disgust, fear, sadness, and surprise, respectively, ps < .001.

Discussion

Comparisons of the target emotions with the means of the nontarget emotions showed that all of the films evidently elicited the target emotions relative to the nontarget emotions. The dimensional emotion scales showed that almost all of the films elicited theoretically reasonable emotions in terms of valence. These results are in line with previous studies using U.S. and German participants (Gross & Levenson, 1995; Hageman et al., 1999) and indicate that the films have a comparable emotion elicitation capacity for Japanese participants.

However, the results for specific comparisons of the target emotion to each nontarget emotion showed that some films elicited nontarget emotions as well as the target emotion. Some of these results are consistent with those of previous studies using Western participants and suggest that the difficulty in eliciting discrete emotions from these films may be similar across cultures. For other films, the results are inconsistent with those of the previous studies, suggesting cultural differences in emotional reactions to the films between Westerners and Easterners.

For the sadness and surprise films, the target emotion was rated higher than all nontarget emotions. These results are consistent with those found by Gross and Levenson (1995).

For the amusement film, the target rating was higher than all nontarget emotions except for arousal, embarrassment, interest, and surprise. For the interest emotion, in previous studies with Belgian (Philippot, 1993) and German (Hagemann et al., 1999) participants it was also reported that interest was induced while viewing films intended to induce positive emotions. Thus, interest and amusement may be simultaneously induced while viewing an amusing film in both Western and Eastern cultures. In contrast, the induction of arousal, embarrassment, and surprise while viewing the amusement film has not been previously reported. One possible reason for this inconsistency may be that the film used (When Harry Met Sally) depicts a woman pretending to act out a sexual behavior. A previous cross-cultural study on premarital sex and sexual permissiveness reported that Japanese are more conservative than Americans (Sprecher & Hatfield, 1996). Thus, our participants may have been surprised, aroused, and embarrassed by viewing the woman’s sex-related behavior which is not condoned in Japanese culture.

For the contentment film, the contentment rating was higher than all nontarget emotions except amusement, happiness, and interest. Gross and Levenson (1995) proposed that amusement and contentment are subtypes of the superordinate category of happiness and that these three emotions could be synonymous. Thus, the concurrence of these three emotions seems reasonable. The elicitation of multiple positive emotions while viewing positive films has also been reported in previous studies with U.S. (McHugo et al., 1982), Belgian (Philippot, 1993), and German (Hagemann et al., 1999) participants. Therefore, the induction of multiple positive emotions while viewing contentment films appears common across cultures.

For the anger film, the target emotion rating was higher than all nontarget emotions except arousal, confusion, disgust, fear, sadness, and tension. The elicitation of anger by films has been shown to be accompanied by other negative emotions in U.S. (McHugo et al., 1982; Gross & Levenson, 1995) and Belgian (Philippot, 1993) studies. Gross and Levenson proposed that anger is elicited in response to social and interpersonal stimuli; hence, other negative emotions tend to be simultaneously elicited during anger films. Our results confirm this notion and extend this characteristic of anger to Eastern cultures.

For the disgust film, disgust was rated higher than all nontarget emotions except surprise. The induction of surprise has not been reported in previous studies (e.g., Gross & Levenson, 1995). However, Hewig et al. (2005) suggested that this particular film, which depicts people eating dog feces, elicits a response of disgust that is too strong for use as an experimental stimulus. This idea accords with our very high negative valence rating. The Japanese participants appeared to experience a very strong disgust emotion, as did Western participants, and became surprised at this strong emotion.

For the fear film, arousal rated as high as the target fear. This result was reported in a German study (Hagemann et al., 1999), and fear is widely accepted as an emotion of high arousal (Witvliet & Vrana, 1995). We believe that the simultaneous elicitation of arousal with fear induction is a general phenomenon across cultures.

Taken together, the present results indicate that the film stimuli of Gross and Levenson (1995) elicited emotional experiences in Japanese participants that were closely comparable to those of Western participants, although the elicitation of some nontarget emotions appeared to be specific to Japanese culture. These results are consistent with those of Scherer et al. (1988), who investigated emotional experiences in different cultures and concluded that emotional experiences are universal. The results are also in line with those in previous literature indicating the similarity of other emotional components (e.g., Ekman, 1971). Our results extend these findings and suggest that films have a universal capacity to induce discrete emotional experience across both Western and Eastern cultures.

The universality of emotion has long been a subject of great interest (e.g., Darwin, 1872/1965) and debate. From the cognitive perspective, Mesquita and Frijda (1992) proposed that emotion consists of multiple aspects, and therefore it would be necessary to evaluate cross-cultural similarity/differences of the aspects. From their perspective, we could interpret our results that certain antecedent events (i.e., films) can induce similar subjective emotional reactions across both Western and Eastern cultures. It would be possible to use the present film stimuli to investigate other emotional aspects, such as appraisal and physiological responses, to provide additional information regarding the cross- cultural universality of emotion.

Some limitations must be acknowledged regarding the present study. First, we tested only half of the film set developed by Gross and Levenson (1995); the other half remains untested. Preparing a couple of films for single target emotions could be advantageous, as the films may differ in their capacity to elicit the target emotions (Gross & Levenson, 1995). It is possible that one stimulus may be more capable of eliciting the target emotion selectively than another stimulus in Japanese participants. Some of Gross and Levenson’s (1995) films are difficult to use with Japanese participants because of technical problems. The angry film that depicts a scene of mob revenge and the amusing film that contains humorous stories told by a comedian lack Japanese dubbing or subtitles. Researchers using these films must create their own dubbing or subtitles, as well as translate the humorous nuances in the amusement film. Alternatively, it may be possible that the films could elicit emotions with no sound presentations; some previous studies have reported that film stimuli without sound elicited emotions (e.g., Tomarken, Davidson, & Henriques, 1990). Further studies are necessary to investigate the emotion elicitation effect of these films.

Second, the present film set contained some possible confounding variables. For example, the films varied considerably in terms of length. The films also varied in their sound condition, including the Japanese dubbing, English sounds with Japanese subtitles, no human speech with background music, and no sounds. Regarding the effect of film length, we conducted preliminary analyses for the specific comparisons noted above between the target and the mean of nontarget emotions. We calculated the effect size of each comparison (cf. Cohen, 1988) and analyzed the correlation between film length and effect sizes. The results showed no significant correlation (r = -.35, p > .1). This result is consistent with previous reports that the film length and sound conditions had little impact on emotion elicitation (e.g., Gross & Levenson, 1995). However, because no previous researcher has systematically investigated this issue, further studies are necessary to confirm that such variables have little effect on emotion elicitation by films.

Third, the film set was unevenly distributed across the valence categories, containing more categories of negative emotion. This uneven distribution may have established expectations and response bias, and may explain our results that the positive emotion films had weak effects relative to the negative films. Several past studies on emotional films (e.g., Gross & Levenson, 1995) and other types of studies on emotion (e.g., Ekman & Friesen, 1975) have also had uneven distributions of emotional categories. Some theories have addressed the even distribution of emotional categories across valence (e.g., Russell & Carroll, 1999), and future film studies based on these theories may provide interesting suggestions regarding emotion elicitation by films.

Finally, since we tested only young Japanese participants, generalization to other age groups cannot be made. It has been reported that emotional processing could change depending on age (Suzuki, Hoshino, Shigemasu, & Kawamura, 2007). Investigation of cross-cultural universality and difference in the effect of age on emotion is an important matter both theoretically and practically.

In summary, we found that the emotional film stimuli developed by Gross and Levenson (1995) with Western participants evidently elicited the targeted emotions in Japanese participants. Our results suggest that these films have a universal capacity to elicit emotions.

References

Cohen, J. (1988). Statistical power analysis for the behavioral sciences (2nd ed.). Hillsdale, NJ: Lawrence Erlbaum.

Darwin, C. (1872/1965). The expression of the emotions in man and animals. Chicago, IL: University of Chicago Press.

Ekman, P. (1971). Universals and cultural differences in facial expressions of emotion. In J. K. Cole (Ed.), Nebraska symposium on motivation (pp. 207-283). Lincoln, NE: University of Nebraska Press.

Ekman, P., & Friesen, W. V. (1975). Unmasking the face: A guide to recognizing emotions from facial clues. Englewood Cliffs, NJ: Prentice-Hall.

Ekman, P., Friesen, W. V., O’Sullivan, M., Chan, A., Diacoyanni-Tarlatzis, I., Heider, K. et al. (1987). Universals and cultural differences in the judgments of facial expressions of emotion. Journal of Personality and Social Psychology, 53, 712-717.

Gerrards-Hesse, A., Spies, K., & Hesse, F. W. (1994). Experimental inductions of emotional states and their effectiveness: A review. British Journal of Psychology, 85, 55-78.

Gross, J. J., & Levenson, R. W. (1995). Emotion elicitation using films. Cognition and Emotion, 9, 87-108.

Hagemann, D., Naumann, E., Maier, S., Becker, G., Lurken, A., & Bartussek, D. (1999). The assessment of affective reactivity using films: Validity, reliability and sex differences. Personality and Individual Differences, 26, 627-639.

Hewig, J., Hagemann, D., Seifert, J., Gollwitzer, M., Naumann, E., & Bartussek, D. (2005). A revised film set for the induction of basic emotions. Cognition and Emotion, 19, 1095-1109.

Kring, A. M., Kerr, S. L., Smith, D. A., & Neale, J. M. (1993). Flat affect in schizophrenia does not reflect diminished subjective experience of emotion. Journal of Abnormal Psychology, 102, 507-517.

Matsumoto, D. (1992). American-Japanese cultural differences in the recognition of universal facial expressions. Journal of Cross-Cultural Psychology, 23, 72-84.

Matsumoto, D., & Ekman, P. (1988). Japanese and Caucasian facial expressions of emotion. San Francisco, CA: Intercultural and Emotion Research Laboratory, Department of Psychology, San Francisco State University.

McHugo, G. J., Smith, C. A., & Lanzetta, J. T. (1982). The structure of self-reports of emotional responses to film segments. Motivation and Emotion, 6, 365-385.

Mesquita, B., & Frijda, N. H. (1992). Cultural variations in emotions: A review. Psychological Bulletin, 112, 179-204.

Philippot, P. (1993). Inducing and assessing differentiated emotion-feeling states in the laboratory. Cognition and Emotion, 7, 171-193.

Russell, J. A., & Carroll, J. M. (1999). On the bipolarity of positive and negative affect. Psychological Bulletin, 125, 3-30.

Russell, J. A., Weiss, A., & Mendelsohn, G. A. (1989). Affect grid: A single-item scale of pleasure and arousal. Journal of Personality and Social Psychology, 57, 493-502.

Scherer, K. R., Banse, R., & Wallbott, H. G. (2001). Emotion inferences from vocal expression correlate across language and cultures. Journal of Cross-Cultural Psychology, 32, 76-92.

Scherer, K. R., Matsumoto, D., Wallbott, H. G., & Kudoh, T. (1988). Emotional experience in cultural context: A comparison between Europe, Japan, and the United States. In K. R. Scherer (Ed.), Facets of emotion: Recent research (pp. 5-30). Mahwah, NJ: Lawrence Erlbaum Associates, Inc.

Sprecher, S., & Hatfield, E. (1996). Premarital sexual standards among U.S. college students: Comparison with Russian and Japanese students. Archives of Sexual Behavior, 25, 261-288.

Suzuki, A., Hoshino, T., Shigemasu, K., & Kawamura, M. (2007). Decline or improvement? Age- related differences in facial expression recognition. Biological Psychology, 74, 75-84.

Tomarken, A. J., Davidson, R. J., & Henriques, J. B. (1990). Resting frontal brain asymmetry predicts affective responses to films. Journal of Personality and Social Psychology, 59, 791-801.

Westermann, R., Spies, K., Stahl, G., & Hesse, F. W. (1996). Relative effectiveness and validity of mood induction procedures: A meta-analysis. European Journal of Social Psychology, 26, 557-580.

Witvliet, C. V. O., & Vrana, S. R. (1995). Psychophysiological responses as indices of affective dimensions. Psychophysiology, 32, 436-443.

Cohen, J. (1988). Statistical power analysis for the behavioral sciences (2nd ed.). Hillsdale, NJ: Lawrence Erlbaum.

Darwin, C. (1872/1965). The expression of the emotions in man and animals. Chicago, IL: University of Chicago Press.

Ekman, P. (1971). Universals and cultural differences in facial expressions of emotion. In J. K. Cole (Ed.), Nebraska symposium on motivation (pp. 207-283). Lincoln, NE: University of Nebraska Press.

Ekman, P., & Friesen, W. V. (1975). Unmasking the face: A guide to recognizing emotions from facial clues. Englewood Cliffs, NJ: Prentice-Hall.

Ekman, P., Friesen, W. V., O’Sullivan, M., Chan, A., Diacoyanni-Tarlatzis, I., Heider, K. et al. (1987). Universals and cultural differences in the judgments of facial expressions of emotion. Journal of Personality and Social Psychology, 53, 712-717.

Gerrards-Hesse, A., Spies, K., & Hesse, F. W. (1994). Experimental inductions of emotional states and their effectiveness: A review. British Journal of Psychology, 85, 55-78.

Gross, J. J., & Levenson, R. W. (1995). Emotion elicitation using films. Cognition and Emotion, 9, 87-108.

Hagemann, D., Naumann, E., Maier, S., Becker, G., Lurken, A., & Bartussek, D. (1999). The assessment of affective reactivity using films: Validity, reliability and sex differences. Personality and Individual Differences, 26, 627-639.

Hewig, J., Hagemann, D., Seifert, J., Gollwitzer, M., Naumann, E., & Bartussek, D. (2005). A revised film set for the induction of basic emotions. Cognition and Emotion, 19, 1095-1109.

Kring, A. M., Kerr, S. L., Smith, D. A., & Neale, J. M. (1993). Flat affect in schizophrenia does not reflect diminished subjective experience of emotion. Journal of Abnormal Psychology, 102, 507-517.

Matsumoto, D. (1992). American-Japanese cultural differences in the recognition of universal facial expressions. Journal of Cross-Cultural Psychology, 23, 72-84.

Matsumoto, D., & Ekman, P. (1988). Japanese and Caucasian facial expressions of emotion. San Francisco, CA: Intercultural and Emotion Research Laboratory, Department of Psychology, San Francisco State University.

McHugo, G. J., Smith, C. A., & Lanzetta, J. T. (1982). The structure of self-reports of emotional responses to film segments. Motivation and Emotion, 6, 365-385.

Mesquita, B., & Frijda, N. H. (1992). Cultural variations in emotions: A review. Psychological Bulletin, 112, 179-204.

Philippot, P. (1993). Inducing and assessing differentiated emotion-feeling states in the laboratory. Cognition and Emotion, 7, 171-193.

Russell, J. A., & Carroll, J. M. (1999). On the bipolarity of positive and negative affect. Psychological Bulletin, 125, 3-30.

Russell, J. A., Weiss, A., & Mendelsohn, G. A. (1989). Affect grid: A single-item scale of pleasure and arousal. Journal of Personality and Social Psychology, 57, 493-502.

Scherer, K. R., Banse, R., & Wallbott, H. G. (2001). Emotion inferences from vocal expression correlate across language and cultures. Journal of Cross-Cultural Psychology, 32, 76-92.

Scherer, K. R., Matsumoto, D., Wallbott, H. G., & Kudoh, T. (1988). Emotional experience in cultural context: A comparison between Europe, Japan, and the United States. In K. R. Scherer (Ed.), Facets of emotion: Recent research (pp. 5-30). Mahwah, NJ: Lawrence Erlbaum Associates, Inc.

Sprecher, S., & Hatfield, E. (1996). Premarital sexual standards among U.S. college students: Comparison with Russian and Japanese students. Archives of Sexual Behavior, 25, 261-288.

Suzuki, A., Hoshino, T., Shigemasu, K., & Kawamura, M. (2007). Decline or improvement? Age- related differences in facial expression recognition. Biological Psychology, 74, 75-84.

Tomarken, A. J., Davidson, R. J., & Henriques, J. B. (1990). Resting frontal brain asymmetry predicts affective responses to films. Journal of Personality and Social Psychology, 59, 791-801.

Westermann, R., Spies, K., Stahl, G., & Hesse, F. W. (1996). Relative effectiveness and validity of mood induction procedures: A meta-analysis. European Journal of Social Psychology, 26, 557-580.

Witvliet, C. V. O., & Vrana, S. R. (1995). Psychophysiological responses as indices of affective dimensions. Psychophysiology, 32, 436-443.

Table/Figure

Figure 1. Mean (± SE) ratings of discrete emotion scales. Target and nontarget emotions are represented by black and white bars, respectively.


Table 1. The t Values for Specific Comparisons Between the Target Emotion and Each Nontarget Emotion Using Discrete Emotional Scales


Table/Figure

df = 30 * p < .05


Table/Figure

Figure 2. Mean (± SE) ratings of dimensional emotion scales. AM = amusement; AN = anger; CO = contentment; DI = disgust; FE = fear; NE = neutral; SA = sadness; SU = surprise.


This study was supported by a Research Fellowship from the Japan Society for the Promotion of Science.

Appreciation is due to anonymous reviewers.

Wataru Sato, Department of Comparative Study of Cognitive Development, Primate Research Institute, Kyoto University, Kanrin, Inuyama, Aichi 484-8506, Japan. Phone: +81-568-63-0567; Fax: +81-568-63-0085; Email: [email protected]u.ac.jp

Article Details

© 2007 Scientific Journal Publishers Limited. All Rights Reserved.