Do Big Five personality factors affect individual creativity? The moderating role of extrinsic motivation

Main Article Content

Sun Young Sung
Jin Nam Choi
Cite this article:  Sung, S. Y., & Choi, J. N. (2009). Do Big Five personality factors affect individual creativity? The moderating role of extrinsic motivation. Social Behavior and Personality: An international journal, 37(7), 941-956.


Abstract
Full Text
References
Tables and Figures
Acknowledgments
Author Contact

Creativity has been acknowledged as one of the most predominant factors contributing to individual performance in various domains of work, and both researchers and practitioners have been devoting increasing attention to creative performance. In this study, we examined the potential trait-trait interaction between the Big Five personality factors (Costa & McCrae, 1992) and the motivational orientations of individuals in shaping their creative performance. Our hypotheses were empirically tested using longitudinal data collected from 304 undergraduate students at a North American business school. Results showed that extraversion and openness to experience had significant positive effects on creative performance. Analysis also revealed that the positive relationship between openness to experience and creativity was stronger when the person possessed strong extrinsic motivation. Agreeableness was a positive predictor of creative performance only when the person’s extrinsic motivation was low. Patterns found relating to personality-motivation interaction as an explanatory factor of individuals’ creative performance are described.

In a rapidly changing environment, both scholars and practitioners highlight the predominant role of creativity as a core competence required for individuals working in diverse domains of work (Shalley, Zhou, & Oldham, 2004). Considerable evidence demonstrates that creativity promotes individual task performance as well as organizational innovation and effectiveness (Amabile, 1996; Scott & Bruce, 1994). Because of the increasing interest in investigating creativity, in recent studies various predictors of individual creative performance have been examined, mostly focusing on workplace characteristics such as task design, leader and coworker characteristics, and organizational climate (Choi, 2007; George & Zhou, 2001; Lim & Choi, 2009; Tierney, Farmer, & Graen, 1999).

Relatively less attention has been paid to the possibility that creativity is predicted by individuals’ personal characteristics. Most of the early efforts to investigate the significance of personality traits for creativity employed either Gough’s (1979) Creative Personality Scale (CPS) or measures of the Big Five model of personality (Feist, 1998; Oldham & Cummings, 1996). With increasing acknowledgement of reliability and validity of the Big Five factors (extraversion, agreeableness, conscientiousness, emotional stability, and openness to experience) in representing individual dispositions at the highest level in a hierarchy of personality traits (Costa & McCrae, 1992; Digman, 1990; Goldberg, 1990), numerous studies have been conducted to understand the implications of the Big Five factors with regard to individual behavior and performance, including creativity (James & Mazerolle, 2002).

Unfortunately, in previous creativity studies using the Big Five factors the focus tended to be on only one or two factors, such as openness to experience (e.g., McCrae, 1987; McCrae & Costa, 1997) and conscientiousness (e.g., Barrick, Mount, & Strauss, 1993; George & Zhou, 2001). In our study, we expanded the creativity literature by developing a theoretical rationale regarding the relationships between each of the Big Five factors and creativity and also by testing them empirically. This holistic approach offered a more comprehensive understanding of the way individuals’ stable dispositions shape their creative performance.

In recent studies on creativity an interactional perspective has been adopted whereby creativity is regarded as the result of the complex interaction between person and situation factors (see e.g., George & Zhou, 2001). In this regard, in trait activation theory it has been suggested that trait-relevant situational factors exaggerate or attenuate the effect of personal dispositions on human behavior by providing an occasion for individuals to respond in ways that are consistent or inconsistent with their innate traits (Tett & Burnett, 2003). In our study, we expanded the interaction perspective to trait-trait interaction in which the effect of a particular trait on creativity is expected to be stronger with the copresence of another pertinent disposition, which is expected to boost the relationship between the trait and creativity (Barrick, Parks, & Mount, 2005). To this end, we proposed that the Big Five-creativity relationship would become stronger with the copresence of strong motivation. Motivation (particularly, intrinsic motivation) has been examined as an important mediator explaining the relationship between contextual characteristics and creativity (Oldham & Cummings, 1996; Shalley & Perry-Smith, 2001; Zhou & Shalley, 2003). The results are, however, still controversial.

Inconsistent findings involving motivation as a mediator may be due to the possibility that motivation plays a role as a moderator rather than, or in addition to, being a mediator between context and creativity. Another possibility is that motivation may affect creativity by interacting with other individual variables, such as personality, rather than interacting with contextual factors. Adopting the trait-trait interaction perspective, we proposed a new possibility that motivation affects creativity by interacting with other individual dispositions such as personality, instead of – or in addition to – exerting a main effect on creativity.

Therefore, in the present study a contribution is made to the creativity literature in two ways. First, we empirically tested the relationship between the Big Five factors and creative performance. Second, we investigated the trait-trait interaction perspective to better understand the effects of individual dispositions on creativity. Although an interactional perspective has an intuitive appeal, in prior studies of creativity the focus has been solely on the interaction between person and situation, thus ignoring the possibility that another innate characteristic could moderate the relationship between a trait and creative performance. To validate our theoretical framework we used longitudinal data collected from 304 undergraduate students who were attending a North American business school. Below we develop a conceptual model that is aimed at accounting for the interplay between personality and motivation in predicting creativity.

Table/Figure

Figure 1. Trait-trait interaction model of creative performance.

The Big Five Factors, Motivation, and Creative Performance

Creativity refers to the generation of novel and potentially useful ideas (Shalley et al., 2004). Based on the possibility of trait-trait interaction in explaining creativity, we developed a theoretical framework that considers the interaction between personality and motivation variables, as depicted in Figure 1. In addition to the main effects of the Big Five factors on creative performance, intrinsic and extrinsic motivation are considered as moderators of this relationship, thus incorporating the trait-trait interaction.

The Big Five Traits and Creative Performance Scholars have demonstrated the reliability, validity and generalizability of the Big Five factor model using numerous samples with varying demographic backgrounds (Costa & McCrae, 1992). In some studies it has also been shown that the Big Five factors are meaningful drivers of individual behavior and performance (James & Mazerolle, 2002; Zhao & Seibert, 2006). In this study, we proposed that these five personality characteristics also have significant bearings on creative performance.

Extraversion Extraversion reflects individuals’ tendencies to be energetic, enthusiastic and ambitious (Raja & Johns, 2004). Individuals with high extraversion are more likely to seek stimulation (Zhao & Siebert, 2006), whereas those with low extraversion tend to be reserved and quiet (Costa & McCrae, 1992). Creativity may result from a person’s proactive behavior, such as actively engaging in a task, or trying out different ideas. For this reason, individuals who are passive and wait for someone to inspire and stimulate them are less likely to be creative. The enthusiasm of people with high extraversion may lead them to be curious about even routine events and to experiment with them. Extraverts tend to seek novel ways of doing tasks and to confront problems instead of avoiding them, which is likely to increase creative performance. We thus hypothesized the following relationship:
Hypothesis 1:Extraversion will be positively related to creative performance

Agreeableness Agreeableness refers to individuals’ courteous, trusting, and cooperative demeanor (Goldberg, 1990). People who score high on agreeableness tend to be good-natured, considerate, and tolerant. By contrast, less agreeable people tend to be manipulative, self-centered, and suspicious (Digman, 1990). Creative ideas are often regarded as challenging the status quo and thus disrupting interpersonal relations and work processes endorsed by others, which can cause tension with work colleagues and/or supervisors (Choi, 2007; Lim & Choi, 2009). Agreeable people tend to care about others’ feelings and avoid being abrasive to, or in conflict with, colleagues. Therefore, they are inclined to engage in cooperative, helping behavior that mostly serves the goal of maintaining existing relationships. Given their strong desire for interpersonal harmony, agreeable people may have difficulty in generating and expressing ideas that are different from those of others or from the existing − or traditional − ways of doing things. Hypothesis 2 was formed in relation to this:
Hypothesis 2: Agreeableness will be negatively related to creative performance

Conscientiousness Conscientiousness refers to the degree to which individuals are purposeful, hardworking, persistent, and strive for achievement (Goldberg, 1990). Research has shown that individuals high in conscientiousness tend to set clear goals to direct their efforts and to exert greater effort than less conscientious people (Mount & Barrick, 1995). This is thought to be why, of the Big Five factors, conscientiousness has been found to be the most significant predictor of task performance as well as job satisfaction (Barrick & Mount, 1991; Raja & Johns, 2004). Because they have high task performance and job satisfaction levels, conscientious individuals may be less motivated to seek a problem or a new opportunity (Zhou & George, 2001). In addition, conscientious people may be mostly oriented toward carrying out the given task in an efficient and organized way rather than introducing interruptions of the given task flow by coming up with new ideas (George & Zhou, 2001). Because of their focus on “doing things right” instead of doing the right things, individuals with high conscientiousness have been found to avoid risk taking or experimentation because these may cause uncertainties and unexpected delays in their work (James & Mazerolle, 2002; Raja & Johns, 2004). Hypothesis 3 relates to this:
Hypothesis 3: Conscientiousness will be negatively related to creative performance.

Emotional stability Emotional stability is a measure of an individual’s degree of calmness and security (Barrick & Mount, 1991). People who score high on emotional stability are characterized as being self-confident and relaxed, while those with low emotional stability tend to be anxious, depressed, insecure, and fearful (Goldberg, 1990). Emotionally unstable individuals experience hopelessness and a lack of energy to perform their tasks (Colbert, Mount, Harter, Witt, & Barrick, 2004). Moreover, they tend to avoid situations in which they are afraid they will fail, and they lack the confidence needed for the social and task-related risk taking that is commonly involved in creative endeavors (Raja & Johns, 2004; Zhao & Siebert, 2006). Emotionally stable individuals, in contrast, are relaxed and possess positive views about their tasks and of other people. Creativity requires the ability to integrate information efficiently and seek a new way of thinking that can be promoted by having a calm demeanor and self-confidence. Therefore, individuals with high emotional stability are more willing and ready to engage in the demanding and abrasive process of creative problem solving. Thus, hypothesis 4 was formed:
Hypothesis 4: Emotional stability will be positively related to creative performance.

Openness to experience Among the Big Five factors, openness to experience has been the most frequently investigated and has received consistent empirical support as a positive predictor of creativity (George & Zhou, 2001; McCrae & Costa, 1997). This is not surprising given that openness to experience represents the extent to which individuals are imaginative, broad-minded, curious, and nontraditional (Mount & Barrick, 1995). Creativity usually starts from novel and unfamiliar ideas that are looked on by others as “wrong” when they are first conceived. Individuals with high openness to experience are more flexible in embracing novel ideas even though these may be untested or fanciful. Open-minded people have strong tendencies to seek out unfamiliar situations that allow for greater access to new experiences and perspectives (Goldberg, 1990). They are willing to expose themselves to a variety of feelings, perspectives, and ideas. On the other hand, individuals with low openness to experience tend to be more conservative and cautious. They find more comfort in the status quo and prefer ideas and things that are familiar rather than novel and unique, because these reduce uncertainty (Choi, 2004; George & Zhou, 2001). This was the basis of hypothesis 5:
Hypothesis 5: Openness to experience will be positively related to creative performance.

Motivation as a Moderator

Although we hypothesized that the Big Five personality traits would be related to individual creativity, we also hypothesized that this Big Five-creativity link would be more pronounced when people have strong motivation to complete the task than when their motivation is weak. Motivation concerns energy, direction, and persistence which are all the aspects of activation and intention, with regard to the behavior in question. According to goal-setting theory, the assumption is that behavior reflects conscious goals and intentions, thus, a person’s efforts and performance are influenced by the goals assigned to, and selected by, oneself (Fried & Slowik, 2004; Locke & Latham, 1990, 2002; Naylor, Pritchard, & Ilgen, 1980). Similarly, the emphasis in self-determination theory (Ryan & Deci, 2000) and self-regulatory focus theory (Brockner & Higgins, 2001; Higgins, 1997, 1998) is on the critical role of motivation as an individual’s inner resources that are developed for behavioral self-regulation and engaging in behaviors becoming aligned with appropriate goals and standards (Kark & van Dijk, 2007).

Scholars have identified two distinct forms of motivation. Intrinsic motivation refers to a natural inclination toward mastery, interest, and exploration that represents a critical source of enjoyment and vitality (Csikszentmihalyi & Rathunde, 1993). With intrinsic motivation, individuals undertake tasks because they find them interesting and because they derive satisfaction from performing the tasks themselves (Gagne & Deci, 2005). On the other hand, extrinsic motivation refers to the individual’s inclination to perform tasks in order to attain some separable consequences, such as tangible or verbal rewards (Ryan & Deci, 2000). The individual’s identification of the value of behaviors for his/her own self-selected goals leads his/her to behave according to self-regulation.

Indeed, both intrinsic and extrinsic motivation have implications for creative performance since high levels of energy, concentration, and willingness are required. Although the social psychological approach to creativity has emphasized the role of intrinsic motivation for creativity (Amabile, 1988), in recent studies it has been shown that extrinsic motivation also exerts a significant positive effect on creativity (Choi, 2004; Eisenberger & Rhoades, 2001). In addition to their main effects on creativity, we advanced the idea that intrinsic and extrinsic motivation offer a stage or condition in which individuals can behave in accordance with their own personal inclinations based on their Big Five characteristics (cf. trait-trait interaction, Barrick et al., 2005). For example, the positive effect of openness to experience on creative performance may not be manifest when the person is not interested in performing the task. Without proper task motivation, openness becomes irrelevant in promoting the person’s creative performance. In this case, task motivation (either intrinsic or extrinsic) may create the setting in which a person’s openness can be activated to increase his/her creativity in performing the task (trait activation theory, Tett & Burnett, 2003). Overall, we proposed that the association between the Big Five factors and creative performance could be either promoted or attenuated depending on the person’s level of motivation for the task at hand. Based on this theoretical consideration, we developed the following moderation hypotheses:
Hypothesis 6a: Intrinsic motivation will moderate the relationship between the Big Five factors and creative performance such that the relationship will be stronger when the degree of intrinsic motivation is higher.
Hypothesis 6b: Extrinsic motivation will moderate the relationship between the Big Five factors and creative performance such that the relationship will be stronger when the degree of extrinsic motivation is higher.

Method

Participants and Data Collection Procedure

To test our hypotheses, we collected data from undergraduate students who were enrolled in an introductory organizational behavior course at a North American business school. The target sample included 430 students comprising 14 sections (independent groups taught by different instructors) taught by 28 instructors (each section was taught by two instructors). Instructors utilized discussions and experiential learning rather than giving lectures and encouraged students to post interesting questions and to offer novel perspectives.

Participation in this study was voluntary and students were rewarded with gift certificates for participating. Participants completed survey questionnaires in the 8th week (Time 1; T1) and the 12th week (Time 2; T2) of the semester. Of the 430 students, 304 completed both T1 and T2 questionnaires, resulting in a response rate of 70.7%. The participants included 48.4% males with an average age of 19.8 years (SD = 2.56), who had spent an average of 2.1 years at the university (1 = Freshman, 2 = Sophomore, 3 = Junior, and 4 = Senior).

Measures

We tested the current hypotheses empirically using longitudinal data. The measures assessing the Big Five traits and motivation were completed at T1. The dependent variable (creative performance) was assessed at T2. Each scale included multiple items. All items were rated on a 7-point Likert-type scale ranging from 1 (not at all true) to 7 (absolutely true) unless otherwise indicated.

Big Five factors (T1) To assess the Big Five traits, we employed the scale items developed by Goldberg (1992). Using a 7-point scale (1 = not at all accurate to 7 = very accurate), participants rated each marker of the Big Five factors based on the following instruction “How much do you feel that the following words accurately describe you?” Extraversion was measured by four items (α = .72): (a) talkative, (b) assertive, (c) energetic, and (d) active. The scale for agreeableness included the following five items (α = .82): (a) agreeable, (b) kind, (c) cooperative, (d) sympathetic, and (e) warm. Conscientiousness was assessed by four items (α = .75): (a) organized, (b) efficient, (c) careful, and (d) conscientious. Emotional stability was measured by four items (α = .75): (a) anxious, (b) emotional, (c) irritable, and (d) nervous (all four items were reverse- coded). The openness to experience scale was composed of five items (α = .80): (a) intellectual, (b) creative, (c) imaginative, (d) bright, and (e) innovative

Intrinsic motivation (T1) To assess intrinsic motivation, we used three items (α = .61) developed by Amabile, Hill, Hennessey, and Tighe (1994): (a) “I want to find out how good I really can be at my work,” (b) “What matters most to me is enjoying what I do,” and (c) “It is important for me to have an outlet for self-expression.” The intrinsic motivation scale focused on the degree to which participants enjoyed the task and performed it for its own sake.

Extrinsic motivation (T1) We assessed participants’ extrinsic motivation using four items (α = .61) validated by Amabile et al. (1994): (a) I am strongly motivated by the grades I can earn, (b) I am keenly aware of the Grade Point Average goals I set for myself, (c) I seldom think about grades and awards (reverse-coded), and (d) As long as I can do what I enjoy, I’m not that concerned about exactly what grades or awards I can earn (reverse-coded). These items measure the extent to which participants relied on external incentives as the impetus for their work.

Creative performance (T2) Participants reported their creative performance during the class at the end of the semester. Drawing on existing studies of creative performance (Eisenberger & Rhoades, 2001; Tierney et al., 1999), we constructed a four-item index (α = .81) that was designed to assess students’ creative performance in the setting of that instructional context. The scale’s items were: (a) “During this class, I supplied new ideas and differing perspectives to the class,” (b) “During this class, I raised interesting issues and challenging questions for discussion,” (c) “During this class, I actively listened to others and integrated their ideas to offer creative solutions,” and (d) “During this class, I combined ideas from different modules and came up with a more integrated view of the phenomena.”

Results

Descriptive statistics and correlations among all study variables are reported in Table 1. To test our hypotheses, we conducted hierarchical regression analysis, in which the Big Five factors were entered into the equation predicting creative performance in the first step, motivation variables in the second step, and the interaction terms in the last step. To reduce the multicollinearity among main effect variables and their interaction terms, scores on the Big Five factors and motivation variables were mean-centered (Aiken & West, 1991). Evidence of a moderating effect would be present if significant incremental variance in creative performance was explained when the interaction terms were added to the equation. Table 2 reports the results of the hierarchical regression equations.

Table 1. Means, Standard Deviations, and Correlations Among Study Variables (N = 304)

Table/Figure
* p < .05; ** p < .01

In Model 1, we entered the Big Five factors as predictors of creative performance. Of the five personality variables, extraversion and openness to experience were significantly related to creative performance, β = .25, p < .001 and β = .19, p < .01, respectively, supporting Hypotheses 1 and 5. However, the effects of agreeableness, conscientiousness, and emotional stability on creative performance were not found to be significant, indicating no support for Hypotheses 2, 3 and 4. In Model 2, we added the two motivation variables to the equation. We found it interesting that extrinsic motivation, but not intrinsic motivation, was a significant predictor of creative performance β = .13, p < .05 and β = -.02, ns., respectively.

Table 2. Hierarchical Regression Analysis

Table/Figure

Note: N = 304. Standardized beta coefficients are shown.
* p < .05; ** p < .01; *** p < .001

In Model 3, we tested the moderating role of motivation by entering ten interaction terms to the equation. These interaction terms significantly increased the explained variance of the outcome (ΔR2 = .08, p < .01). Of the ten interaction terms, results for two involving extrinsic motivation were significant: the interaction between agreeableness and extrinsic motivation (β = -.21, p < .01) and the interaction between openness to experience and extrinsic motivation (β = .12, p < .05).

To specify the interaction patterns, we plotted the significant interaction effects by conducting separate regression analyses for two subgroups composed of members with either high (1 SD above the mean) or low (1 SD below the mean) extrinsic motivation (Aiken & West, 1991). The interaction pattern involving agreeableness and extrinsic motivation is depicted in Figure 2. For individuals with high levels of extrinsic motivation, agreeableness did not show any meaningful relationship with creative performance (β = -.05, p > .10). In contrast, for those with low extrinsic motivation, agreeableness was positively related to their creative performance (β = .25, p < .01). This counterintuitive pattern is discussed later.

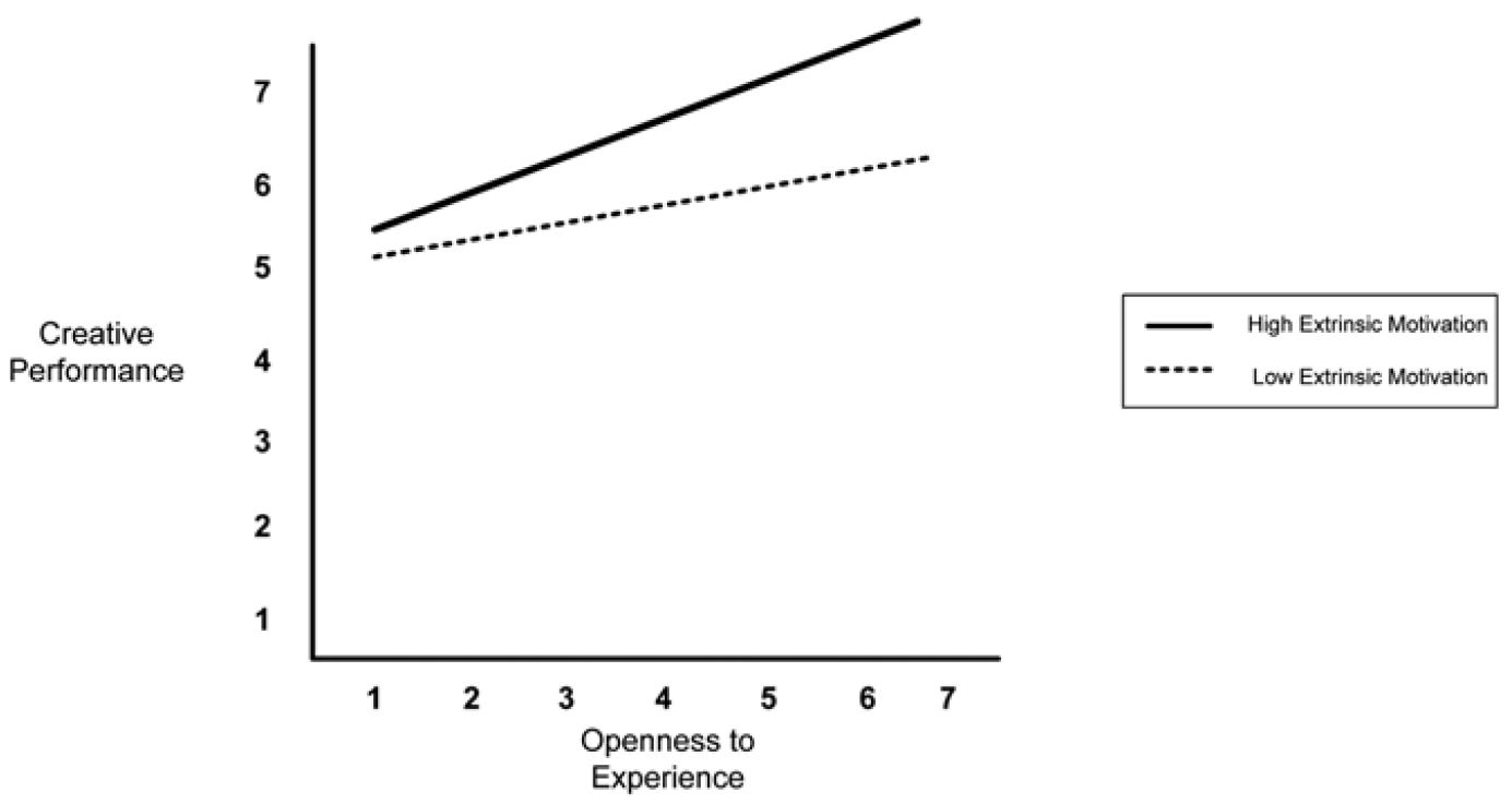
Figure 3 illustrates the interaction between openness to experience and extrinsic motivation, showing that the relationship between openness to experience and creative performance was stronger for individuals with high levels of extrinsic motivation than for those with lower extrinsic motivation; β = .27, p < .10 and β = .04, ns., respectively. Overall, our data demonstrate that extrinsic motivation significantly moderates the relationships between two of the Big Five factors and creative performance, thus Hypothesis 6b was partially supported.

Table/Figure

Figure 2. Interaction between agreeableness and extrinsic motivation in predicting creative performance.

Table/Figure

Figure 3. Interaction between openness to experience and extrinsic motivation in creative performance.

Discussion

With the recognition that innovation is rooted in the creative ideas of individuals, increasing attention has been devoted to the determinants of individual creativity (Amabile, 1996; Oldham & Cummings, 1996; Shalley et al., 2004). In this regard, scholars have often examined the role of the Big Five personality factors as a meaningful predictor of individual creativity (Barrick et al., 1993; Feist, 1998; George & Zhou, 2001). Nevertheless, in most of the existing studies the focus has been on specific factors of the Big Five traits, thus failing to provide an integrative picture of the relationship between the Big Five and creativity. In the present study all aspects of the Big Five factors were investigated in the context of the creative performance of students. More importantly, employing the trait-trait interaction perspective, we advanced intrinsic and extrinsic motivation as critical moderators or shapers of the relationship between the Big Five factors and creativity. In our empirical analysis we revealed that extraversion and openness to experience had significant effects on individual creativity, and that extrinsic motivation played a meaningful role in determining the nature and the strength of the relationship between the Big Five and creativity. Below we highlight important findings of the present study and their implications, and discuss limitations along with directions for future research.

Consistent with previous studies (George & Zhou, 2001; McCrae and Costa, 1997), openness to experience exhibited a significant positive effect on creative performance. This is likely to be because people with high openness to experience tend to be flexible and willing to accept various perspectives, even when the ideas are unfamiliar and seem somewhat fanciful/underdeveloped (Zhao & Seibert, 2006). Our finding offers additional empirical evidence that openness to experience enables people to move away from traditional beliefs and conventions and engage in novel and unique ways of thinking.

Although researchers have paid less attention to extraversion as a source of creativity, our data suggest that of the Big Five factors, extraversion can be the most significant predictor of creative performance. Indeed, people with high extraversion are full of energy and enthusiasm, encouraging such behaviors as seeking stimulation and proactively addressing problems, which should enhance creative thinking and performance (Costa & McCrae, 1992; Zhao & Seibert, 2006). Another potential reason for the strong effect of extraversion may lie in the fact that the measure of creative performance used in our study was related to expressing or communicating creative ideas in the class, which should favor students who were extroverted and thus felt comfortable in presenting their thoughts to others (cf. Unsworth, 2001). It is reasonable to expect that expressed or social forms of creativity may have sets of predictors that are different from those of unexpressed forms of creativity (Choi, 2004). This possibility could be further explored in future studies.

Another interesting finding of this study was the significant effect of extrinsic motivation versus the nonsignificant role of intrinsic motivation in creativity. This pattern clearly indicates that there may need to be a more balanced consideration of intrinsic and extrinsic motivation by researchers, going beyond the sole focus on intrinsic task motivation as the motivational basis of creativity (Amabile, 1988). Recently, the positive roles of rewards and extrinsic motivation with regard to creativity have been acknowledged among researchers (Choi, 2004; Eisenberger & Rhoades, 2001), particularly in the domain of social or public forms of creativity, such as creative performance in schools or in workplaces, extrinsic motivation may play a critical role (often more so than intrinsic motivation) in predicting creative performance. Perhaps for the same reason, in this study extraversion turned out to be a strong predictor of creativity.

In addition to the main effect of extrinsic motivation on creativity, in this study extrinsic motivation was also revealed as a meaningful moderator that changes the meaning of personal traits with regard to individual creativity. It was of note that our analysis showed that extrinsic motivation played somewhat contrasting roles for agreeableness and openness to experience. Supporting our expectation, the association between openness and creativity became stronger in a situation where the person had strong extrinsic motivation. Individuals with high openness to experience seemed to act more strongly on their innate trait when they were strongly motivated to perform the task and gain rewards and acknowledgement from their performance. Thus, extrinsic motivation activates the functioning of a person’s openness trait, supporting trait activation theory (Tett & Burnett, 2003) as well as the trait-trait interaction perspective (Barrick et al., 2005).

For agreeable people, on the other hand, high extrinsic motivation was not beneficial for their creative performance (see Figure 2). Given that agreeable individuals care about others and tend to prefer agreeing with others’ opinions to keep the peace, their creative performance will be further decreased when they are concerned about rewards, compensation, or others’ evaluation of their performance. In contrast, agreeableness was positively associated with creativity when the person had low extrinsic motivation, and thus he/she was less constrained by others’ opinions. This pattern indicates that for agreeable people low extrinsic motivation meant that they were less likely to be influenced by the social or evaluative constraints of a given setting.

The present study has several limitations. First, the present data were collected from students and the results, therefore, may not be generalizable to other populations. For example, the creative performance of employees may be more strongly driven by organizational context variables than by their individual dispositions. Nevertheless, given the ample evidence that employees’ creativity is a function of both individual and contextual characteristics (Amabile, 1996; Oldham & Cummings, 1996; Shalley et al., 2004), the trait-trait interaction perspective may be a viable approach in understanding creativity in organizational settings. Secondly, although we employed a longitudinal design that separated the measures of predictors and the outcome by four weeks, all variables were self-reported and the results might be affected by same-method bias. Given the potential differences between self and observer ratings (Mount & Barrick, 1995; Schmidt, Shaffer, & Oh, 2008), in future studies a multisource design could be adopted to provide a more robust research finding. Thirdly, in implementing our longitudinal research design, we could not guarantee the anonymity of participants who provided multiwave data. This data collection strategy could introduce systematic response biases owing to participants’ tendency to offer socially desirable responses. Finally, in our current research framework, we focused on the trait-trait interaction involving the Big Five traits and motivation in predicting creativity. Therefore, other factors that might explain variance in creativity such as situational and contextual factors were not included. In future research the current framework could be expanded and could incorporate various contextual variables to examine their moderating effects on the trait-trait interactions identified in this study.

Despite these limitations, the present study makes meaningful contributions to the creativity literature by offering an integrative perspective and empirical validation of the relationship between the Big Five personality traits and individual creativity. Moreover, we demonstrated the value of the trait-trait interaction perspective in better explaining the effects of personality traits on creative performance. Our analysis showed that the effects of a person’s agreeableness and openness on his/her creative performance had different directions and strengths depending on the level of his/her extrinsic motivation. In particular, the contrasting effects of extrinsic motivation observed for agreeableness versus openness to experience offer a more sophisticated understanding of the distinct ways in which motivation and personality characteristics work together to produce individual behavior. In further studies the mechanisms involved in trait-trait interaction could be elaborated and the theoretical framework could be expanded by incorporating contextual moderators to account for individual creativity in various settings.

References

Aiken, L. S., & West, S. G. (1991). Multiple regression: Testing and interpreting interactionsNewbury Park, CA: Sage.

Amabile, T. M. (1988). A model of creativity and innovation in organizations. In B. M. Staw & L. L. Cummings (Eds.), Research in organizational behavior (pp. 123-167). Greenwich, CT: JAI Press.

Amabile, T. M. (1996). Creativity in context. Boulder, CO: Westview.

Amabile, T. M., Hill, K. G., Hennessey, B. A., & Tighe, E. M. (1994). The work preference inventory: Assessing intrinsic and extrinsic motivational orientations. Journal of Personality and Social Psychology, 66, 950-967.

Barrick, M. R., & Mount, M. K. (1991). The Big Five personality dimensions and job performance: A meta-analysis. Personnel Psychology, 44, 1-26.

Barrick, M. R., Mount, M. K., & Strauss, J. P. (1993). Conscientiousness and performance of sales representatives: Test of the mediating effects of goal setting. Journal of Applied Psychology, 78, 715-722.

Barrick, M. R., Parks, L., & Mount, M. K. (2005). Self-monitoring as a moderator of the relationships between personality traits and performance. Personnel Psychology, 58, 745-767.

Brockner, J., & Higgins, E. T. (2001). Regulatory focus theory: Implications for the study of emotions at work. Organizational Behavior and Human Decision Processes, 86, 35-66.

Choi, J. N. (2004). Individual and contextual predictors of creative performance: The mediating role of psychological processes. Creativity Research Journal, 16, 187-199.

Choi, J. N. (2007). Change-oriented organizational citizenship behavior: Effects of work environment characteristics and intervening psychological processes. Journal of Organizational Behavior, 28, 467-484.

Colbert, A. E., Mount, M. K., Harter, J. K., Witt, L. A., & Barrick, M. R. (2004). Interactive effects of personality and perceptions of the work situation on workplace deviance. Journal of Applied Psychology, 89, 599-609.

Costa, P. T., Jr., & McCrae, R. R. (1992). Revised NEO Personality Inventory (NEO PI-R) and NEO Five-Factor Inventory (NEO-FFI) professional manual. Odessa, FL: Psychological Assessment Resources.

Csikszentmihalyi, M., & Rathunde, K. (1993). The measurement of flow in everyday life: Toward a theory of emergent motivation. In J. E. Jacobs (Ed.), Developmental perspectives on motivation (pp. 57-97). Lincoln, NE: University of Nebraska Press.

Digman, J. M. (1990). Personality structure: Emergence of the five-factor model. Annual Review of Psychology, 41, 417-440.

Eisenberger, R., & Rhoades, L. (2001). Incremental effects of reward on creativity. Journal of Personality and Social Psychology, 81, 728-741.

Feist, G. J. (1998). A meta-analysis of personality in scientific and artistic creativity. Personality and Social Psychology Review, 4, 290-309.

Fried, Y., & Slowik, L. H. (2004). Enriching goal-setting theory with time: An integrated approach. Academy of Management Review, 29, 404-422.

Gagne, M., & Deci, E. L. (2005). Self-determination theory and work motivation. Journal of Organizational Behavior, 26, 331-362.

George, J. M., & Zhou, J. (2001). When openness to experience and conscientiousness are related to creative behavior: An interactional approach. Journal of Applied Psychology, 86, 513-524.

Goldberg, L. R. (1990). An alternative description of personality: The Big Five factor structure. Journal of Personality and Social Psychology, 59, 1216-1229.

Goldberg, L. R. (1992). The development of markers for the Big-Five factor structure. Personality Assessment, 4, 26-42.

Gough, H. G. (1979). A creative personality scale for the Adjective Check List. Journal of Personality and Social Psychology, 37, 1398-1405.

Higgins, E. T. (1997). Beyond pleasure and pain. American Psychologist, 52, 1280-1300.

Higgins, E. T. (1998). Promotion and prevention: Regulatory focus as a motivational principle. Advances in Experimental Social Psychology, 30, 1-46.

James, L. R., & Mazerolle, M. D. (2002). Personality in work organizations. Thousand Oaks, CA: Sage.

Kark, R., & van Dijk, D. (2007). Motivation to lead, motivation to follow: The role of the self- regulatory focus in leadership processes. Academy of Management Review, 32, 500-528.

Lim, H. S., & Choi, J. N. (2009). Testing an alternative relationship between individual and contextual predictors of creative performance. Social Behavior and Personality: An international journal, 37, 117-136.

Locke, E. A., & Latham, G. P. (1990). A theory of goal setting and task performance. Englewood Cliffs, NJ: Prentice-Hall.

Locke, E. A., & Latham, G. P. (2002). Building a practically useful theory of goal setting and task motivation: A 35-year odyssey. American Psychologist, 57, 705-717.

McCrae, R. R. (1987). Creativity, divergent thinking, and openness to experience. Journal of Personality and Social Psychology, 52, 1258-1265.

McCrae, R. R., Jr., & Costa, P. T. (1997). Conceptions and correlates of openness to experience. In R. Hogan, J. Johnson, & S. Briggs (Eds.), Handbook of personality psychology (pp. 825-847). San Diego, CA: Academic Press.

Mount, M. K., & Barrick, M. R. (1995). The Big Five personality dimensions: Implications for theory and practice in human resource management. Research in Personnel and Human Resource Management, 13, 153-200.

Naylor, J. C., Pritchard, R. D., & Ilgen, D. R. (1980). A theory of behavior in organizations. New York, NY: Academic Press.

Oldham, G. R., & Cummings, A. (1996). Employee creativity: Personal and contextual factors at work. Academy of Management Journal, 39, 607-634.

Raja, U., & Johns, G. (2004). The impact of personality on psychological contracts. Academy of Management Journal, 47, 350-367.

Ryan, R. M., & Deci, E. L. (2000). Self-determination theory and the facilitation of intrinsic motivation, social development, and well-being. American Psychologist, 55, 68-78.

Schmidt, F. L., Shaffer, J. A., & Oh, I. (2008). Increased accuracy for range restriction corrections: Implications for the role of personality and general mental ability in job and training performance. Personnel Psychology, 61, 827-868.

Scott, S. G., & Bruce, R. A. (1994). Determinants of innovative behavior: A path model of individual innovation in the workplace. Academy of Management Journal, 37, 580-607.

Shalley, C. E., & Perry-Smith, J. E. (2001). Effects of social-psychological factors on creative performance: The role of informational and controlling expected evaluation and modeling experience. Organizational Behavior and Human Decision Processes, 84, 1-22.

Shalley, C. E., Zhou, J., & Oldham, J. R. (2004). The effects of personal and contextual characteristics on creativity: Where should we go from here? Journal of Management, 30, 933-958.

Tett, R. P., & Burnett, D. D. (2003). A personality trait-based interactionist model of job performance. Journal of Applied Psychology, 88, 500-517.

Tierney, P., Farmer, S. M., & Graen, G. B. (1999). An examination of leadership and employee creativity: The relevance of traits and relationships. Personnel Psychology, 52, 591-620.

Unsworth, K. (2001). Unpacking creativity. Academy of Management Review, 26, 289-297.

Zhao, H., & Seibert, S. E. (2006). The Big Five personality dimensions and entrepreneurial status: A meta-analytical review. Journal of Applied Psychology, 91, 259-271.

Zhou, J., & George, J. M. (2001). When job dissatisfaction leads to creativity: Encouraging the expression of voice. Academy of Management Journal, 44, 682-696.

Zhou, J., & Shalley, C. E. (2003). Research on employee creativity: A critical review and directions for future research. In J. Martocchio (Ed.), Research in personnel and human resource management (pp. 165–217). Oxford, England: Elsevier.

Aiken, L. S., & West, S. G. (1991). Multiple regression: Testing and interpreting interactionsNewbury Park, CA: Sage.

Amabile, T. M. (1988). A model of creativity and innovation in organizations. In B. M. Staw & L. L. Cummings (Eds.), Research in organizational behavior (pp. 123-167). Greenwich, CT: JAI Press.

Amabile, T. M. (1996). Creativity in context. Boulder, CO: Westview.

Amabile, T. M., Hill, K. G., Hennessey, B. A., & Tighe, E. M. (1994). The work preference inventory: Assessing intrinsic and extrinsic motivational orientations. Journal of Personality and Social Psychology, 66, 950-967.

Barrick, M. R., & Mount, M. K. (1991). The Big Five personality dimensions and job performance: A meta-analysis. Personnel Psychology, 44, 1-26.

Barrick, M. R., Mount, M. K., & Strauss, J. P. (1993). Conscientiousness and performance of sales representatives: Test of the mediating effects of goal setting. Journal of Applied Psychology, 78, 715-722.

Barrick, M. R., Parks, L., & Mount, M. K. (2005). Self-monitoring as a moderator of the relationships between personality traits and performance. Personnel Psychology, 58, 745-767.

Brockner, J., & Higgins, E. T. (2001). Regulatory focus theory: Implications for the study of emotions at work. Organizational Behavior and Human Decision Processes, 86, 35-66.

Choi, J. N. (2004). Individual and contextual predictors of creative performance: The mediating role of psychological processes. Creativity Research Journal, 16, 187-199.

Choi, J. N. (2007). Change-oriented organizational citizenship behavior: Effects of work environment characteristics and intervening psychological processes. Journal of Organizational Behavior, 28, 467-484.

Colbert, A. E., Mount, M. K., Harter, J. K., Witt, L. A., & Barrick, M. R. (2004). Interactive effects of personality and perceptions of the work situation on workplace deviance. Journal of Applied Psychology, 89, 599-609.

Costa, P. T., Jr., & McCrae, R. R. (1992). Revised NEO Personality Inventory (NEO PI-R) and NEO Five-Factor Inventory (NEO-FFI) professional manual. Odessa, FL: Psychological Assessment Resources.

Csikszentmihalyi, M., & Rathunde, K. (1993). The measurement of flow in everyday life: Toward a theory of emergent motivation. In J. E. Jacobs (Ed.), Developmental perspectives on motivation (pp. 57-97). Lincoln, NE: University of Nebraska Press.

Digman, J. M. (1990). Personality structure: Emergence of the five-factor model. Annual Review of Psychology, 41, 417-440.

Eisenberger, R., & Rhoades, L. (2001). Incremental effects of reward on creativity. Journal of Personality and Social Psychology, 81, 728-741.

Feist, G. J. (1998). A meta-analysis of personality in scientific and artistic creativity. Personality and Social Psychology Review, 4, 290-309.

Fried, Y., & Slowik, L. H. (2004). Enriching goal-setting theory with time: An integrated approach. Academy of Management Review, 29, 404-422.

Gagne, M., & Deci, E. L. (2005). Self-determination theory and work motivation. Journal of Organizational Behavior, 26, 331-362.

George, J. M., & Zhou, J. (2001). When openness to experience and conscientiousness are related to creative behavior: An interactional approach. Journal of Applied Psychology, 86, 513-524.

Goldberg, L. R. (1990). An alternative description of personality: The Big Five factor structure. Journal of Personality and Social Psychology, 59, 1216-1229.

Goldberg, L. R. (1992). The development of markers for the Big-Five factor structure. Personality Assessment, 4, 26-42.

Gough, H. G. (1979). A creative personality scale for the Adjective Check List. Journal of Personality and Social Psychology, 37, 1398-1405.

Higgins, E. T. (1997). Beyond pleasure and pain. American Psychologist, 52, 1280-1300.

Higgins, E. T. (1998). Promotion and prevention: Regulatory focus as a motivational principle. Advances in Experimental Social Psychology, 30, 1-46.

James, L. R., & Mazerolle, M. D. (2002). Personality in work organizations. Thousand Oaks, CA: Sage.

Kark, R., & van Dijk, D. (2007). Motivation to lead, motivation to follow: The role of the self- regulatory focus in leadership processes. Academy of Management Review, 32, 500-528.

Lim, H. S., & Choi, J. N. (2009). Testing an alternative relationship between individual and contextual predictors of creative performance. Social Behavior and Personality: An international journal, 37, 117-136.

Locke, E. A., & Latham, G. P. (1990). A theory of goal setting and task performance. Englewood Cliffs, NJ: Prentice-Hall.

Locke, E. A., & Latham, G. P. (2002). Building a practically useful theory of goal setting and task motivation: A 35-year odyssey. American Psychologist, 57, 705-717.

McCrae, R. R. (1987). Creativity, divergent thinking, and openness to experience. Journal of Personality and Social Psychology, 52, 1258-1265.

McCrae, R. R., Jr., & Costa, P. T. (1997). Conceptions and correlates of openness to experience. In R. Hogan, J. Johnson, & S. Briggs (Eds.), Handbook of personality psychology (pp. 825-847). San Diego, CA: Academic Press.

Mount, M. K., & Barrick, M. R. (1995). The Big Five personality dimensions: Implications for theory and practice in human resource management. Research in Personnel and Human Resource Management, 13, 153-200.

Naylor, J. C., Pritchard, R. D., & Ilgen, D. R. (1980). A theory of behavior in organizations. New York, NY: Academic Press.

Oldham, G. R., & Cummings, A. (1996). Employee creativity: Personal and contextual factors at work. Academy of Management Journal, 39, 607-634.

Raja, U., & Johns, G. (2004). The impact of personality on psychological contracts. Academy of Management Journal, 47, 350-367.

Ryan, R. M., & Deci, E. L. (2000). Self-determination theory and the facilitation of intrinsic motivation, social development, and well-being. American Psychologist, 55, 68-78.

Schmidt, F. L., Shaffer, J. A., & Oh, I. (2008). Increased accuracy for range restriction corrections: Implications for the role of personality and general mental ability in job and training performance. Personnel Psychology, 61, 827-868.

Scott, S. G., & Bruce, R. A. (1994). Determinants of innovative behavior: A path model of individual innovation in the workplace. Academy of Management Journal, 37, 580-607.

Shalley, C. E., & Perry-Smith, J. E. (2001). Effects of social-psychological factors on creative performance: The role of informational and controlling expected evaluation and modeling experience. Organizational Behavior and Human Decision Processes, 84, 1-22.

Shalley, C. E., Zhou, J., & Oldham, J. R. (2004). The effects of personal and contextual characteristics on creativity: Where should we go from here? Journal of Management, 30, 933-958.

Tett, R. P., & Burnett, D. D. (2003). A personality trait-based interactionist model of job performance. Journal of Applied Psychology, 88, 500-517.

Tierney, P., Farmer, S. M., & Graen, G. B. (1999). An examination of leadership and employee creativity: The relevance of traits and relationships. Personnel Psychology, 52, 591-620.

Unsworth, K. (2001). Unpacking creativity. Academy of Management Review, 26, 289-297.

Zhao, H., & Seibert, S. E. (2006). The Big Five personality dimensions and entrepreneurial status: A meta-analytical review. Journal of Applied Psychology, 91, 259-271.

Zhou, J., & George, J. M. (2001). When job dissatisfaction leads to creativity: Encouraging the expression of voice. Academy of Management Journal, 44, 682-696.

Zhou, J., & Shalley, C. E. (2003). Research on employee creativity: A critical review and directions for future research. In J. Martocchio (Ed.), Research in personnel and human resource management (pp. 165–217). Oxford, England: Elsevier.

Table/Figure

Figure 1. Trait-trait interaction model of creative performance.


Table 1. Means, Standard Deviations, and Correlations Among Study Variables (N = 304)

Table/Figure
* p < .05; ** p < .01

Table 2. Hierarchical Regression Analysis

Table/Figure

Note: N = 304. Standardized beta coefficients are shown.
* p < .05; ** p < .01; *** p < .001


Table/Figure

Figure 2. Interaction between agreeableness and extrinsic motivation in predicting creative performance.


Table/Figure

Figure 3. Interaction between openness to experience and extrinsic motivation in creative performance.


This study was financially supported by grants from the Suam Foundation and the Institute of Industrial Relations of the College of Business Administration at Seoul National University.
Appreciation is due to anonymous reviewers.

Jin Nam Choi, College of Business Administration, Seoul National University, Seoul, South Korea. Phone: 82-2-880-2527; Fax: 82-2- 878-3154; Email: [email protected]

Article Details

© 2009 Scientific Journal Publishers Limited. All Rights Reserved.